
浮筒式液位計設計原理
浮筒式液位計屬于變浮式液位計,即在液面位置變化時,浸沒浮筒的體積不同,因而浮力也不同,可通過測量浮力的變化來測量液面的高度。
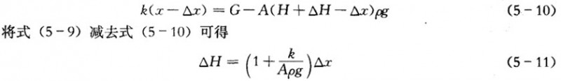
圖5-7所示是一種用壓彈簧平衡浮力,用差動變壓器測量浮筒位移的浮筒式液位計原理示意圖。浸沒于液體中的浮筒,上端通過連桿與彈簧及差動變壓器相連。這樣,浮筒除了受自身重力G、液體的浮力F外,還要受到被拉伸彈簧的拉力T。當液位一定,浮筒受力平衡時有

當液位變化時,浮筒所受的浮力隨之變化,由于重力不變,要達到新的平衡狀態,浮筒的浸沒高度必然變化,使彈簧的張力也隨之而變。假定某時刻液位升高了△H,如圖5-7 所示,彈簧隨之被壓縮△x.則有

式(5-11)表明,液位的變化量與彈簧的長度變化量成正比。在此,彈簧起到了把大位移△H變成小位移△X的作用。由圖5-7可見,彈簧的長度變化量即是差動變壓器鐵芯的位移量。因此,差動變壓器的輸出反映了液位的高度,即將液位的變化轉換成電量的變化。
在有些設計中采用霍爾元件測量浮筒位移。為了把位移由壓力容器中傳出,采用扭力管機構,一般精度可達1.5級左右。
浮筒式液位計除了應用上述位移平衡式的測量系統外,還有采用力平衡式的方案,例如,氣動或電動力平衡浮筒式液位計。這類液位計由于位移甚小,機構摩擦及非線性影響減少了很多,所以儀表精度一般高于位移平衡式,可達到1級。
浮力式液位儀表受外界溫度、濕度、強光、氣流等影響較小,但由于浮力式液位計具有可動部件,因而會因摩擦而引起靈敏度降低和變差增大,另外,浮子占有較大空間,體積較大,這些都是浮力式儀表的不足。

版權所有 Copyright(©)2009-2011 江蘇力科儀表有限公司
電話號碼:0517-86909222 商務熱線:15305232668 傳真:0517-86909221
地址:江蘇省金湖縣工業園
技術支持:易品網站建設專家 蘇ICP備13047422號-1